公安部发布《危险化学品道路运输通行路线规划指南》GA/T 2095-2023,10月1日起实施。
危险化学品道路运输通行路线规划指南
1 范围
本文件提供了危险化学品道路运输通行路线规划的总则、候选路线选取、数据资料采集、安全风险分析、其他条件分析和路线比选等方面的建议。
本文件适用于公安机关规划危险化学品道路运输常备通行路线、禁限行路线或指定通行路线时,对不同路线的安全风险进行评估和比选,其他危险物品道路运输通行路线规划可以参照执行。
2 规范性引用文件
下列文件中的内容通过文中的规范性引用而构成本文件必不可少的条款。其中,注日期的引用文件,仅该日期对应的版本适用于本文件;不注日期的引用文件,其最新版本(包括所有的修改单) 适用于本文件。
JTG B01 公路工程技术标准
3 术语和定义
下列术语和定义适用于本文件。
3.1危险化学品 dangerous chemical
具有毒害、腐蚀、爆炸、燃烧、助燃等性质,对人体、设施、环境具有危害的剧毒化学品和其他化学品。
3.2影响范围 impact area
在危险化学品道路运输过程中发生泄漏及次生事故时,道路及其周边区域可能受到影响或安全威胁 的空间范围。
3.3自然环境敏感区 sensitive environment
生态环境易遭到危险化学品污染破坏且难以恢复的区域或人们生产生活重要自然资源集中的区域。
3.4安全风险值 value of safety risk
对发生危险化学品泄漏事故并造成损害后果的度量,一般指危险化学品运输泄漏事故可能造成的沿线人员伤亡总量。
4 总则
4.1 危险化学品(以下简称“危化品”)道路运输通行路线规划工作可分为确定选线目标、选取候选路线、采集数据资料、分析安全风险、分析其他条件、路线比选六个阶段。
4.2 宜为危化品道路运输通行路线规划确定清晰的工作目标和空间范围,根据过境通行、本地通行、绕路通行等不同需求明确路线起终点及所针对的危化品种类。
4.3 危化品道路运输通行路线起终点宜覆盖港口、转运站、化工厂等危化品运输关键节点。
4.4 宜提前选出少量可行的候选路线作为比选对象,以减少资源消耗。
4.5 宜采用定量为主、定性为辅的方式,对候选路线通行危化品运输车辆的安全风险及其他条件进行 分析评估。
4.6 宜区分白天和夜间对候选路线分别进行分析评估。
4.7 为开展安全风险及其他条件分析采集的数据资料,质量、数量和时效宜满足分析需要。
4.8 开展安全风险及其他条件分析时,宜综合考虑以下因素:
a)沿线历史交通事故情况,
b) 道路周边人口分布,
c) 道路通行条件,
d) 危化品类别及运量,
e) 当地应急救援能力,
f) 沿线地形地貌,
g) 自然环境敏感区分布,
h) 气候及天气条件,
i) 历史交通流量,
j) 其他需考虑的因素。
4.9 安全风险分析以危化品运输泄漏事故可能造成的人员伤亡为主要因素。
4.10 进行比选决策时宜综合分析沿线特殊场所、自然环境破坏风险、应急反应能力、交通运输成本、财产损失、气候等其他条件。
4.11 相邻行政辖区通行路线宜相互衔接,保证危化品运输车辆通行的连续性,路线绕行里程不宜过长。
4.12 通行路线涉及高速公路的,宜和普通公路做好衔接。
5 选取候选路线
5.1 选取候选路线前,宜全面调研当地法规政策对危化品运输车辆通行特定路段的限制性规定,如未设置禁止性规定,可将其纳入候选路线。
5.2 本辖区路线资源充足的情况下,候选路线宜避开以下区域:
a)城市(含县城) 重点地区、重点单位、人流密集场所、居民生活区;
b)水源保护区、重点景区、自然保护区;
c)特大桥梁、特长隧道、隧道群、桥隧相连路段及水下公路隧道;
d)长坡陡坡、临水临崖等通行条件差的山区公路;
e)法律、行政法规规定的其他可以限制通行的区域。
5.3 选取候选路线时,宜重点考虑该路线的通行条件是否满足危化品运输车辆通行需求,如桥梁承重 极限、桥下净空限制、车道及路肩宽度、纵坡、转弯半径以及长期道路施工活动等。
5.4 条件允许的情况下,可对通行隧道和重点桥梁路段加以限制。如对长隧道,可禁止易燃易爆、有毒气体危化品运输车辆通行,或限制易燃易爆、有毒气体危化品运输车辆的通行时间,但宜提供合理的绕行路线。
5.5 候选路线宜方便危化品运输车辆进出,沿途经过地点宜方便补给油料、食物以及休息、维修车辆等。关注危化镖局,及时了解最新危运动态。
5.6 候选路线宜包含在用路线,即进行路线比选前已经指定危化品运输车辆通行的路线。未指定危化 品运输车辆通行路线的,在排除法规政策限制后,将满足危化品运输车辆通行需求的距离最短路线作为 在用路线。
5.7 对于有两条或两条以上候选路线的,宜采集数据资料开展安全风险及其他条件分析对比;对于仅 有一条候选路线的,可重点分析对比白天和夜间的安全风险。
6 数据资料采集
6.1 采集数据资料宜包括涉及候选路线的以下内容:
a) 经道路运输的危化品抽样资料,包括种类、数量、起终点等数据;
b) 近3年交通量和交通组成等统计数据;
c) 近3年交通事故资料,包括事故时间、地点、形态、原因、伤亡人数、涉及车型、天气等数据;
d) 道路通行条件资料, 包括道路路肩宽度、桥梁承重、坡度、转弯半径等;
e) 人口分布资料,沿线户籍人口数量、人口普查数据等相关数据;
f)自然环境资料,包括自然保护区、水源地、风景区等的面积、类别及空间分布数据;
g) 沿线应急消防、医疗卫生、公安交管等部门位置、人员、车辆、装备等资料;
h) 地形、地貌及气候条件资料;
i)其他可用于安全风险分析的数据资料。
6.2 可以通过以下方式获取相关数据资料:
a) 经道路运输的危化品抽样资料可以从公安机关交通管理部门或交通运输部门获取;
b) 交通量相关统计数据可以从公安机关交通管理部门或交通运输部门获取;
c) 交通事故相关资料可以从公安机关交通管理部门获取;
d) 道路通行条件资料可以从交通运输部门的设计文件或实地测量资料获取;
e) 人口分布资料可以从公安机关户政部门或统计部门获取;
f) 自然环境资料可以从林业、环境及水务部门获取;
g)地形及气象资料可以从自然资源及气象部门获取。
6.3 如部分数据资料缺失,可经充分论证后采用合理的替代数据。
7 安全风险分析
7.1 安全风险计算模型
安全风险值以某道路(路段)发生危化品运输泄漏事故率与其可能造成伤亡人数的乘积来表征,即:

P——泄漏事故率,指一年中危化品运输车辆行经某道路(路段)时可能发生泄漏交通事故的起数;
C——事故后果,指发生泄漏事故后可能造成的伤亡人数,随人口时空分布、危化品种类不同而变化。
注:安全风险值仅作为候选路线的相对风险,用于不同路线间的安全性对比,不用于表征特定路线的绝对安全水平。
7.2 路线分段
7.2.1 宜将候选路线划分为多个独立的单元(路段),分别计算分析其安全风险。
7.2.2 分段时宜综合考虑路线沿线的道路通行条件、交通事故率、交通量、人口分布等因素,并将这些因素特征的变化点作为分段节点。
7.2.3 如沿线7.2.2所述因素分布连续一致,可将该路线作为整体分析计算,不分段。
7.2.4 隧道宜视其长度单独作为分析计算单元。
7.3 泄漏事故率计算
7.3.1 对于任意路段单元,其危化品运输泄漏事故率可通过候选路线全线平均事故率和该单元事故率修正因子进行估算,可参照附录A所列方法计算。
7.3.2 事故率修正因子宜综合考虑路段技术条件确定,如线形特征、车道数、出入控制条件、中央隔离及路肩状况等。
7.3.3 当涉及危化品运输车辆的交通事故资料缺失或不足时,宜优先使用大中型货车事故率替代危化品运输车辆事故率。当大中型货车事故数据难以获取或不足时,可以采用全部车辆的平均事故率替代危化品运输车辆事故率。
7.3.4 当采用替代数据估算危化品运输车辆事故率时,宜对所有路段及候选路线采用同样的替代方式。
7.3.5 在计算危化品运输车辆事故率时,宜使用连续3年的历史交通事故数据。
7.3.6 在涉及新建道路等特殊情况下,如无法获取历史交通事故数据,可采用交通流量、道路类型、通行条件等相似道路的相关数据进行计算。
7.4 事故后果计算
7.4.1 划定影响范围
7.4.1.1 本文件中将危化品泄漏后的影响范围定义为圆形,其半径取值可参照附录B的有关规定。
7.4.1.2 有条件的,可综合考虑运输的危化品种类、可能泄漏的数量、气候条件、地形等,沿候选路线划定更为精确的影响范围。
7.4.2 估算可能伤亡人数
7.4.2.1 估算影响范围内的可能伤亡人数时,宜对道路内交通参与者和道路周边居住停留人口分别计算和分析:

C——影响范围内的可能伤亡人数;
C1——可能造成道路内车辆驾乘人员、行人等交通参与者的伤亡人数;
C2——可能造成道路周边居民、临时停留人员等非交通参与者的伤亡人数。
7.4.2.2 宜根据候选路线交通流量、交通组成及其变化规律,合理估算路内机动车驾乘人员、非机动车驾驶人及行人的分布状态。并参照附录C相关方法,分别针对危化品缓慢泄漏和瞬时大量泄漏场景,计算影响范围内道路内可能伤亡人数。
7.4.2.3 在特殊情况下,如隧道、桥梁、路堑等,需考虑危化品运输泄漏事故发生时,可能对被困机动 车驾乘人员、非机动车驾驶人及行人的影响。
7.4.2.4 宜根据人口普查数据估算影响范围内道路周边可能伤亡人数;当人口普查数据不可用时,可使用县、市级人口密度等数据估算影响范围内道路周边可能伤亡人数。
7.4.2.5 有条件的,可综合采用实地调研、取样估计等方法,估算影响范围内居住或停留人口的空间分 布状态。
7.4.2.6 宜考虑通勤、学校教学等因素导致道路周边居住或停留人口随时间的变化情况,并结合就业、学龄人口数据分别估算白天和夜间的人口分布。
7.5 安全风险计算
7.5.1 对于途经候选路线运输的所有类别危化品,以其占总运输量的比例作为权重,将各类危化品运输可能造成的安全风险加权求和,即可得到该分析单元不同时段、不同场景下的综合安全风险。
7.5.2 将候选路线所有单元的安全风险相加,即可得到该路线不同时段、不同场景下总的安全风险。
7.5.3 必要时,可采用统计学方法评估所使用数据的不确定性以及相关因素的敏感性,以确定安全风险的可置信度。
7.6 隧道安全风险计算
7.6.1 可根据隧道的历史交通事故数据、临近路段或通行条件相似的隧道事故率估算泄漏事故率。
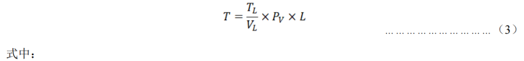
7.6.2 计算隧道路段危化品运输泄露事故后果时,宜假设困在隧道内的所有驾乘人员受到事故伤害, 则可能伤亡人数用下式估算:

T —— 隧道中可能伤亡人数;
TL—— 隧道长度;
VL——车辆平均长度;
PV——每辆车内的平均驾乘人数;
L ——总车道数(双向)。
8 其他条件分析
8.1 自然环境破坏风险
8.1.1 按照生态环境部门的意见,确定自然环境敏感区的范围。
8.1.2 宜考虑沿线自然环境敏感区分布状况,如水源地、湖泊、溪流、湿地、自然保护区等,计算自然环境敏感区位于影响范围内的面积。
8.1.3 危化品泄漏后对自然环境敏感区的影响范围按附录B取值。
8.1.4 自然环境破坏风险以某道路(路段)发生危化品运输泄漏事故率与其可能造成自然环境敏感区破坏面积的乘积表征, 即:

E—— 自然环境破坏风险;
P——泄漏事故率,指一年中危化品运输车行经某道路(路段) 时可能发生泄漏交通事故的起数;
U——事故后果,指发生泄漏事故后可能造成的自然环境敏感区破坏面积。
8.1.5 可根据沿线自然环境敏感区类型、重要程度,以加权求和的方式计算自然环境破坏风险。必要时, 宜考虑水源地取水人口数量、溪流连通水网面积等因素。
8.2 特殊群体及场所
8.2.1 宜对道路沿线的医院、监狱、老年公寓等人口密集且疏散难度高的场所给予特殊考虑,可通过计 算沿线此类场所的数量比较不同路线的安全性。
8.2.2 必要时,宜对可能出现人群临时大量聚集的场所进行单独评估,如学校、大型商场、集市、体育 场馆、影剧院等,学校的入学人数、场馆容量、商场停车位等可以用来估算人群的聚集程度。
8.2.3 宜考虑道路沿线的加油站、化工厂、油库等易在危化品运输泄漏事故中发生次生灾害的场所分布情况,可通过统计沿线此类场所的数量比较不同路线的安全性。
8.3 应急响应能力
8.3.1 宜考虑沿线应急救援资源配备情况,包括应急处置装备、车辆、人员、医疗床位数量以及危化品 临时存储能力等。
8.3.2 宜考察应急救援资源沿候选路线的空间位置分布情况,并计算路线单位长度上可用资源,可采用 10min内能抵达事故现场的应急救援力量与路线长度的比值表征。
8.4 交通运输成本
8.4.1 宜考虑经不同候选路线运输危化品的经济成本差异,可采用行程时间价值、油耗等指标进行计算。
8.4.2 不同路线间的行程时间差异宜采用JTG B01中定义的运行速度计算。
8.5 财产损失
必要时,可计算对比不同候选路线危化品运输泄漏事故可能造成的沿线住宅、商业地产、桥梁、隧道等财产损失。
8.6 气候条件
宜统计不同的候选路线间降雪、风、结冰、雾天等不利气象条件的差异,合理评估对运输安全、危化品扩散、事故现场救援处置的影响。如局部水系分布造成的团雾、地形或植被遮挡造成的暗冰等。
9 路线比选
9.1 宜结合辖区实际情况,根据候选路线的安全风险状况、自然环境破坏风险、应急响应能力以及其他纳入分析的因素和条件,做出合理的路线比选决策。
9.2 宜参照下列程序进行路线比选:
a) 将候选路线按照安全风险值从低到高排序;
b) 参照9.3进行比选;
c) 参照9.4、9.5,考虑其他条件对比选结果进行调整。
9.3 根据安全风险值对路线进行比选,参考以下原则给出初步比选结果:
a) 如在用路线的安全风险值最低,则宜按在用路线执行;
b) 如在用路线的安全风险值较候选路线中安全风险值最低路线(非重合部分)高50%及以上,则宜采用安全风险值最低路线;
c) 如在用路线安全风险值较高,但与安全风险值最低候选路线相差不超过50%,当该候选路线长度不超过在用路线长度的1.25倍时,宜采用该候选路线,否则按在用路线执行;
d) 当比选路线间的安全风险值差异小于10%,宜避免仅依据安全风险值做出比选结论。
9.4 根据其他条件对初步比选结果进行调整,参考以下原则执行:
a) 在比选路线间安全风险值相近时,应急反应能力宜作为选线决策的主要依据;
b) 在比选路线间安全风险值相近时,是否存在医院、学校、水源地、湿地等宜作为选线决策的重要依据;
c) 宜对比沿线地形对危化品泄漏物扩散、控制、清除等产生的影响;
d) 宜对比不利天气条件产生的影响;
e) 宜考虑沿线交通流量及拥堵状况对事故发生后应急响应产生的影响。
9.5 涉及桥梁、隧道、高架道路等特殊路段,可参考下列原则调整选线决策:
a) 涉及长隧道、长大桥梁或其他评估中认定的特殊路段时,可设置为禁止通行路线或执行限车道、限时段、限危化品种类等限制通行措施;
b) 宜将桥梁、隧道等特殊构造物的修复成本,特别是修复时间作为调整选线决策的重要依据;
c) 对于桥梁和高架路段,事故发生时驾乘人员逃生的难易程度宜作为调整选线决策的依据。
9.6 如不能选出更优路线,则保持在用路线。
9.7 危化品道路运输通行路线规划结束后,宜编制规划报告并列出常备通行路线、禁限行路线或指定通行路线。
点赞(2)
服务号
订阅号
小程序
APP
地址:北京市通州区嘉创路5号8号楼1层01
电话:010-67378688
邮箱:qc5656@126.com